Короткий И.А., Расщепкин
А.Н., Федоров Д.Е.
ФГБОУ ВПО Кемеровский
технологический институт пищевой промышленности, Россия
Подбор технологических режимов
конвективной сушки ягод черной смородины
Конвективная сушка является одной из наиболее
распространенных технологий обезвоживания продуктов в пищевой промышленности [1].
Сущность данного метода заключается в том, что продукт омывается потоком
газообразного теплоносителя, увлекающего за собой пары влаги. Конвективная
сушка может применяться также для обезвоживания ягод [2]. Это позволяет сгладить
сезонность данной продукции во многих регионах России и частично решить
проблемы авитаминоза, что является очень важным ввиду неблагоприятной
экологической обстановки.
Таким образом, целью настоящей работы является подборе
технологических режимов конвективной сушки ягод. Объектом исследования служили
ягоды черной смородины (использовалась сортосмесь).
Конвективную сушку осуществляли в подвешенном
слое, скорость движения воздуха при этом составляла 4 м/с. Температуру воздуха
в различных опытах варьировали в пределах 40…80° С с шагом в 10° С.
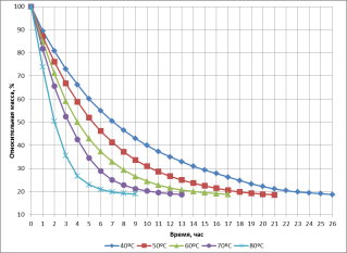
На рис. 1 представлены графики зависимости
относительной массы ягод и скорости сушки от времени.
Общее время обезвоживания ягод при температуре
воздуха 40, 50, 60, 70 и 80° С составило соответственно 26, 21, 17, 13 и 9 ч
(рис. 1а). Наибольшая скорость удаления влаги наблюдалась вначале процесса
сушки и составляла от 11 до 26 %/час при различных температурах нагрева (рис.
1б). На протяжении всего процесса удаления влаги скорость сушки снижалась.

а б
Рисунок 1 – Зависимость относительной массы (а) и скорости
сушки (б) от времени обезвоживания конвективным методом
В процессе сушки в ягодах происходит ряд биохимических
процессов, влияющих на структуру, физико-химический состав и органолептические
показатели. Для определения наиболее эффективной температуры конвективной сушки
ягод черной смородины были проведены исследования изменения качественных
показателей до и после сушки.
Органолептическую оценку проводили по 4
показателям: цвет, вкус, запах и консистенция. Каждый из показателей оценивался
по 15-бальной шкале. Таким образом, суммарная максимальная оценка составляла 60
баллов. Оценку проводили в 6 повторностях, на основе чего рассчитывалось
среднее арифметическое значение. На рис. 2 представлена профилограмма
органолептической оценки ягод черной смородины, высушенной конвективным
методом.
Наибольшие органолептические показатели
наблюдались при сушке с температурой 40° С. Суммарная оценка при таком режиме
составила 56 баллов из 60. Повышение температуры сушки до 50° С влечет за собой
снижение общей оценки всего на 1 балл. При дальнейшем увеличении температуры
воздуха до 60° С наблюдается ухудшение качественных показателей еще на 2,5
балла. Сушка с температурой 80° С характеризуется наиболее низкой оценкой в 47
баллов. Изменение температуры сушки больше всего влияет на такие показатели как
запах и вкус (рис. 2).

Рисунок 2 – Профилограмма органолептической оценки ягод черной смородины,
высушенных конвективным способом
Таким образом, анализируя вышеизложенные данные, можно рекомендовать
температуру сушки в 50° С. Такой режим обеспечивает наиболее эффективное
сочетание качества продукта и продолжительности обезвоживания. Представленные
результаты исследований могут быть полезны работникам пищевой промышленности
при разработке технологий переработки дикорастущего сырья.
Литература:
1. Снєжкін Ю.Ф., Чалаєв Д.М., Хавін О.О, Шаврін
В.С., Наумов С.Є. Підвищення ефективності теплонасосних конвективних сушарок //
Наукові праці Українського державного університету харчових технологій. Київ:
УДУХТ. 2001, № 10, частина II. С. 143-144.
2. Гаряев, А.А. Оптимизация энергосберегающих
схем установок конвективной сушки термолабильных материалов: дисс. канд. тех.
наук: 05.14.04/ Гаряев Антон Андреевич. – Москва, 2011. - 196 с.