Технічні науки / 6. Електротехніка і
радіоелектроніка
К.т.н. Куцевол О. М., к.т.н. Куцевол М. О.
Вінницький національний аграрний університет, Україна
Ємнісний вологомір зерна і
зернопродуктів
В основу
даного пристрою покладене завдання створення ємнісного вологоміра, в якому, за
рахунок введення нових блоків та зв’язків між ними, підвищується точність
вимірів шляхом усунення впливу нелінійності функції перетворення фазового
детектора на похибку вимірів.
Ця задача досягається тим, що в запропонованому ємнісному вологомірі
додатково введені вольтметр амплітудного значення напруги В, цифровий фазометр ЦФ,
цифровий пристрій ЦП та індикаційний
блок ІБ, причому вольтметр
амплітудного значення напруги своїм входом під’єднаний до зразкового елемента,
а цифровий фазометр – до зразкового елемента і ємнісного первинного
перетворювача вологості, виходи вольтметра амплітудного значення напруги і
цифрового фазометра під’єднані до входу цифрового пристрою, вихід якого
з’єднаний з входом блоку індикації.
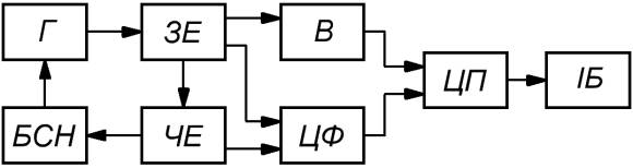
На рис.2
наведена структурна схема
ємнісного вологоміра, на рис.3, а – електрична еквівалентна схема, а на рис.3,
б – векторна діаграма напруг і струмів вимірювального перетворювача вологості [1,2].

Рис.2. Структурна схема ємнісного вологоміра

а) б)
Рис.3.
Електрична еквівалентна схема вимірювального перетворювача (ВП) ємнісного
вологоміра (а) та векторна діаграма напруг і струмів ВП вологості (б)
При дії напруги від генератора Г
гармонічної напруги до послідовного кола, утвореного зразковим елементом ЗЕ і ємнісним чутливим елементом
вологості ЧЕ на них виділяються
напруги
і
,
що подаються на входи цифрового фазометра ЦФ,
який вимірює фазовий зсув між ними. Окрім цього напруга
зразкового елемента подається на вхід вольтметра амплітудного значення напруги В. Інформація про амплітуду
та фазовий зсув
між
і
подається на вхід цифрового пристрою ЦП, де перетворюється в сигнал,
пропорційний вологості матеріалу, що надходить на вхід індикаційного блоку
вологості ІБ. Напруга
з ємнісного чутливого елемента вологості
надходить на вхід блоку зворотного зв’язку стабілізації напруги БСН на ємнісному чутливому елементі
вологості та порівнюється з еталонним значенням. Сигнал різниці з БСН на ємнісному первинному перетворювачі
вологості подається на вхід Г і таким
чином регулює амплітуду цієї напруги, щоб напруга
була стабільною.
За виконання умови
,
струм
,
що протікає через ємнісний елемент
на еквівалентній схемі рис.3, а, буде
залежати тільки від ємності цього елемента, яка визначається вологістю
матеріалу і не залежить від опору діелектричних втрат
.
При цьому вологість визначається за виразом
,
де:
– коефіцієнт пропорційності, який
визначається під час градуювання;
– струм зразкового елемента, що має опір
;
– напруга зразкового елемента;
– фазовий зсув між напругами
і
.
Висновок
Таким чином,
запропонований пристрій дозволяє вимірювати вологість матеріалу шляхом контролю
напруги на зразковому елементі та фазового зсуву між напругами на зразковому
елементі та ємнісному чутливому елементі вологості за прямим відліком з дисплею
індикаційного блоку.
За рахунок усунення похибок, викликаних нестабільними діелектричними
втратами та нелінійністю фазового детектора, підвищується точність вимірювань
вологості.
Література:
1. Декл. пат. 14659 Україна,
МПК G 01 N 27/22. Ємнісний вологомір / Поджаренко В. О., Куцевол М. О.,
Куцевол О. М. ; заявник патентовласник Вінницьк. націон. техн. унів. – №u200511929 ; заявл.
12.12.05; опубл. 15.05.06, Бюл. № 5. – 3 с.
2. Куцевол М. О. Двочастотний
метод вимірювання вологості капілярно-шпаристих матеріалів зі значними втратами / М. О. Куцевол, О. М. Куцевол // Контроль і
управління в складних системах : міжнар. наук.-техн. конф., 3-2 лют. 1999 р. : тези доп. – Вінниця : ВПІ, 1999. – С.185–188.