Шпільчак О.І.
Буковинський державний фінансово-економічний
університет
Фінансово-економічний факультет
Актуальність теми. Оскільки, сучасний світ і виробництво включно зорієнтоване на соціальний
розвиток і соціальну забезпеченість і безпеку, то дослідження теми соціальної
ефективності на виробництві є надзвичайно важливим. Соціальні
процеси та явища, що протікають на промисловому підприємстві, зачіпають широке
коло аспектів його діяльності та багато в чому визначають ефективність роботи.
Соціальна ефективність є недостатньо дослідженим
видом, хоча займає далеко не останнє місце серед факторів виробництва, має
прямий зв'язок з соціумом і особою, зокрема. Соціальні показники створюють великий
вплив на результати роботи підприємства. Тобто, якщо розглядати соціальні
чинники, то було б простіше розраховувати вплив окремих чинників на діяльність
будь-якого підприємства, тобто зважувати усі чинники, які мають прямий чи
опосередкований вплив на діяльність підприємства.
Цю
тему досліджували такі науковці:
В.І.
Блонська, Т.І. Пісько, Задольський А.М., М. Тулєнков, Тимощук Н.І.,
Касьянова Н.В., Бухонова С.М. та інші.
Ефективність – це оцінювання вже кінцевих результатів.
Майже тотожним поняттям до ефективності є поняття продуктивності, але
продуктивність має характер переважно матеріальний, ресурсний, а ефективність –
економічний. Щодо такого терміна як "ефект", то воно має
результативний характер, на відміну від ефективності, що співвідноситься поняттями:
"ефект" і "витрати", що його викликали. [6]
Кажучи про рівень ефективності, що
складається під впливом соціально-виробничих чинників, слід розглядати
соціально-економічну ефективність як відображення ступеня досягнення соціальних
параметрів підприємства. Соціальна ефективність - це ступінь досягнення
вставлених цілей, певного соціального ефекту у відсотковому або абсолютному
виразі (як конкретний результат відносно персоналу або споживачів та оточення
підприємства, що отримали вигоду). При цьому на перший план висувається
питання: як при обмежених ресурсах якнайповніше задовольнити потреби персоналу
підприємницької структури (мікрорівень) та всіх членів суспільства
(макрорівень). Тим самим підкреслюється «джерело» такої ефективності - дія
соціально-виробничих чинників, які мають не тільки економічний, але і
соціальний вплив. [5]
Оскільки виробництво ми розглядаємо як комплексний
процес створення матеріальних благ, невід’ємною частиною якого є
взаємовідносини між людьми в колективі, то кожне підприємство утворює складну
не лише виробничо-економічну, але й не менш складну соціальну систему. Тобто на резутьтативність і
продуктивність його роботи мають вагомий вплив і соціально-культурні чинники. Тому
сучасні підприємства об'єктивно мусять спрямовувати певну частину своїх зусиль
і ресурсів на вирішення як внутрішніх, так і зовнішніх проблем соціального
характеру.
Одними з чинників підвищення ефективності виробництва
та високої результативності виробничо-господарської та комерційної діяльності є
вирішення питань соціального розвитку. Соціальні потреби працівників
підприємства охоплюють широке коло питань: поліпшення умов праці та охорони
здоров'я, побуту працівників і членів їх сімей, соціально-культурного
обслуговування. Забезпечення соціальних потреб трудових колективів здійснюється
сукупністю певних підрозділів соціальної інфраструктури підприємства. [5]
Проте, також на сучасному етапі ведення господарства
висуваються особливі вимоги до персоналу підприємства, рівня освіти,
професійної підготовки, ініціативності і креативності. Підприємства зацікавлені
в постійному розвитку здібностей працівника, адже це є передумовою його
якісного виконання поставлених завдань, навичок використання сучасних
технологій і новітніх наукових досягнень.
У літературі на сьогодні не визначено загальноприйняту
методику оцінки соціальної ефективності діяльності підприємства. Зараз уже не
достатньо визначити рівень соціальної ефективності, але важливо знати величину
даного ефекту, його причини, фактори, що на нього впливають.
При визначенні
критеріїв і показників ефективності роботи підприємства необхідно враховувати
прийняті в світі підходи [3], відповідно до яких виділяють щонайменше сім
критеріїв оцінки: дієвість, економічність, якість, прибутковість (доходи /
витрати), продуктивність, якість умов трудового життя, впровадження інновацій.
Дієвість - ступінь досягнення системою вставлених цілей. Щоб її
визначити, порівнюють заплановані результати з фактичними (ресурси, що
використовуються, не враховуються, якщо вони не фігурували як мета).
Найпоширеніший метод вимірювання - розрахунок індексів дієвості, які вказують
ступінь досягнення мети в одному періоді в порівнянні з іншим.
Економічність - ступінь використання ресурсів підприємства.
Економічність визначають шляхом зіставлення ресурсів, які передбачалося
витратити для досягнення певної мети та виконання конкретних робіт (послуг), з
ресурсами, які були фактично спожиті.
Якість - ступінь відповідності системи вимогам, специфікації та
очікуванням клієнтів. Традиційні методи визначення якості робіт (послуг), що
надаються, включають встановлення відповідності специфікаціям і своєчасності
надання робіт (послуг) в терміни та в час, зручний для споживачів.
Прибутковість - співвідношення між валовими доходами та сумарними
витратами.
Продуктивність - співвідношення кількості робіт (послуг) та витрат
на їх реалізацію.
Якість умов трудового життя - престижність роботи, відчуття безпеки,
впевненості, задоволеності працівників підприємства, включаючи менеджерів.
Методи вимірювання спрямовані на визначення ступеня відповідності особистих
уявлень працівників про соціально-психологічні умови в трудовому колективі та
фактичного стану умов праці.
Впровадження інновацій - реальне використання нових досягнень в
області сучасної техніки та управління на підприємстві для досягнення
поставлених цілей.
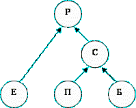
Останнім часом велику популярність
отримав метод формування комплексної оцінки соціальної ефективності на основі
побудови ієрархічної структури (дерева) критеріїв [2]. Ідея полягає у тому, що
всі критерії організовуються в певну ієрархічну структуру. На кожному рівні
цієї структури відбувається побудова агрегованої оцінки критеріїв попереднього
рівня. На рисунку приводиться ієрархічна структура для трьох критеріїв оцінки
програми розвитку підприємства - економічної ефективності (Е), рівня оплати
праці (П) і екологічної безпеки (Б).

Рис 1. Ієрархічна структура критеріїв
ефективності підприємства [2]
Кількісне
вимірювання соціальної ефективності окремих груп здійснюваних заходів зводиться
до обчислення непрямого економічного ефекту і витрат на його досягнення з
наступним їх порівнянням. Причому єдиної методики розрахунку такого ефекту не
існує. Тому у кожному окремому випадку слід застосовувати специфічний спосіб
його визначення, який став уже відомим з опублікованих наукових розробок.
Якісна характеристика ефективності певних груп соціальних заходів
повинна передбачати більш-менш детальний словесний опис їх реального
(можливого) впливу на результативність виробництва і життєдіяльність населення,
його окремих верств. За різних інших умов результати кількісного вимірювання
соціальної ефективності треба доповнювати якісними характеристиками заходів, що
впливають на неї, і на цій підставі формувати загальні висновки щодо її рівня і
динаміки.[4]
Ринкові відносини проблему
стимулювання соціального розвитку не розв'язали та вирішити не можуть, бо ці
(ринкові) відносини включають в оцінку і можуть стимулювати тільки виробничі
відносини (на рівні витрат і прибутку), прибуток і будь-які інші економічні, як
правило, не зав'язані на кінцевий результат (добробут працівників), вони цей
результат підвищувати не будуть. Більш того, якщо в місті відсутні сторожові
(мінімальні) соціальні стандарти, то у ряді випадків соціальний рівень ради
прибутку може знизитися до рівня соціального вибуху.
Висновки. Отже, з вищесказаного видно, що підходи щодо оцінки соціальної
ефективності діяльності підприємства потребують розвитку як для покращення
методологічної, інформаційної, математичної бази обчислень, так і створення з
них практичних рекомендацій. Дослідження вказують на те, що підприємства, які постійно
розвиваються, містять величезні внутрішні резерви і соціальну базу, які
потребують подальшого вивчення і вдосконалення, а також реалізації в практичній
діяльості.
Список використаних джерел:
1. Блонська В.І., Т.І. Пісько Соціально-економічна ефективність
діяльності
торгового підприємства, резерви і шляхи її підвищення //Науковий вісник НЛТУ України. 2010. - №. 20.1 – С.316
2. Бухонова С.М., Дорошенко Ю.А.,
Трунова Е.В. Применение систем показателей функционирования предприятий в целях
управления // Экономический анализ: теория и практика. 2004. - № 10. - С. 3-9.
5. Тимощук Н.І. Ефективність діяльності торговельного підприємства
та шляхи її підвищення [Електронний
ресурс] /Н.І. Тимощук//Збірник наукових праць Вінницького торговельно-економічного
інституту КНЕУ/[ред. відп.ред. Левицька
А.О.]. – Режим доступу: http://www.rusnauka.com/15_APSN_2011/Economics/10_86693.doc.htm
6. А.І. Хоронжий
Соціально-економічна ефективність діяльності торгового підприємства, резерви і
шляхи її підвищення //Науковий
вісник НЛТУ України. 2010. - №. 20.1 –
С.316